長期以來, 鋁電解電容因其價格便宜導致其使用最為廣泛, 然而最近幾年這種趨勢卻發生了顯著變化, 避免使用鋁電解電容的情況正在增加, 主要原因在于鋁電解電容的壽命較短, 這一缺陷往往成為設備的薄弱環節[1-4]。鋁電解電容內部的電解液會蒸發或產生化學變化, 導致靜電容量減少或等效串聯電阻 (ESR) 增大, 隨著時間的推移, 很可能出現電解液泄漏、爆炸、開路、擊穿或電參數惡化等現象。因此, 鋁電解電容的壽命短是導致其逐漸被替代的重要原因。影響鋁電解電容壽命的原因很多, 其中工作條件是主要因素, 而溫度是對電解電容工作壽命影響最大的因素, 過高的熱量將加速電解液蒸發, 當電解液的存量減少到一定極限時, 電解電容的壽命也就終止了。
鋁電解電容被逐漸替代的原因, 不僅在于其壽命有限, 還在于當設備需要縮小體積、提高電路耐壓能力和增大電流時, 鋁電解電容也會有一定的限制。迅速擺脫那些限制的方法就是選用其他類型的電容[5-7]。自20世紀80年代開始, 金屬化膜及膜上分割技術得到了長足的發展, 使薄膜電容的體積和重量減小了3~4倍, 因此薄膜電容的工作電壓比鋁電解電容能更加經濟地覆蓋到600VDC~1 200VDC這個范圍。
文獻[8]分析了鋁電解電容壽命老化的機理, 并通過計算剩余電解質的體積來估算電解電容的剩余壽命。該文在計算過程中考慮了溫度對電解電容的等效串聯電阻ESR的影響。文獻[9]通過計算電容的ESR值實現損傷評估, 提出了一種基于直流電壓檢測的ESR檢測方法。該方法僅需檢測DC/DC變換器的直流側電壓, 然后通過濾波、整流等步驟提取出直流輸出電壓中紋波電壓的特征量, 并將此用于標志電解電容ESR的大小。文獻[10]給出了電解電容核心溫度的理論計算方法, 對于使用阿倫尼烏斯方程的電解電容壽命評估方法也進行了詳細分析, 并采用參數辨識的方法對電解電容的ESR進行提取, 以之作為估算電解電容損傷程度的依據。文獻[11-14]提出了使用直流紋波電壓和紋波電流在線計算ESR的方法, 通過對直流紋波電壓和電流基波的比值計算ESR, 并在紋波電壓和電流中濾除其直流成分, 防止負載變化的干擾。文獻[15]從鋁電解電容疲勞損傷機理出發, 基于已知的老化規律對線性損傷理論在鋁電解電容疲勞損傷評估過程中的應用進行了探索, 提出了一種基于累積迭代的鋁電解電容器直接疲勞損傷評估方法。文獻[16]分別從紋波、壽命、掉電維持時間等方面給出了電解電容的選型方法。
文中在總結以上研究成果的基礎上, 推導了直流支撐電容容值及電容電流有效值的計算公式, 得到了兩者與負載功率、直流電壓、紋波電壓及頻率的關系, 并通過實例進行了計算和分析;對薄膜電容與電解電容的壽命進行了分析, 比較了兩種電容壽命的影響因素, 給出各自的優缺點;對兩種大型電力電容分別采用薄膜電容與電解電容兩種方案進行了設計, 對比分析了采用兩種方案時薄膜電容與電解電容的體積與重量。
1 直流支撐電容容值及過電壓設計
電機變頻驅動系統通常通過整流器將三相交流電變為直流電, 然后通過逆變器變頻驅動電動機, 直流側一般需安裝直流支撐電容。
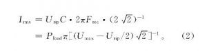
直流支撐電容的容值近似由式 (1) 確定。

式中:Urip為電壓紋波幅值;Umax為電壓最大值;Pload為負載功率;Frec為整流輸出電壓頻率。
流過電容的有效值電流近似表達式為

下面以一個具體的例子來加以說明。
直流電壓為1 000V, 紋波電壓為200V, 根據式 (1) 可得到在不同功率等級情況下電容容值隨頻率的變化曲線 (見圖1) 。
根據式 (2) 可求得當功率為1 MW、100kW、10kW、5kW、1kW時, 所需直流支撐電容的電流有效值分別為2 221A、222A、22A、11A以及2.2A。在功率為1 MW的情況下使用電解電容, 考慮到電解電容的有效值電流被限制在約20mA/μF, 當有效值電流為2 221A時, 需要的最小容值約為111mF。由圖1可以看出, 對于三相整流系統而言, 頻率為300 Hz時, 對應1 MW的曲線需要16.67 mF的容值。顯然, 與電解電容相比, 如使用薄膜電容方案, 由于其有效值電流被限制約為1A/μF, 因此容值可以大大減小, 從而體積可以大大縮小, 且具有更高的可靠性。對于更低功率的情況下, 同樣能夠給出相同的結果。
在某些工況下, 直流支撐電容上會出現2倍額定電壓的過電壓, 薄膜電容可以承受這種過電壓, 而由于電解電容僅可承受最大約1.2倍的額定電壓, 如額定電壓為1 000V, 則電解電容的最低額定電壓應約為1 670V, 需要用4個額定電壓為450V的電解電容進行串聯。
對于要求高額定電壓的場合, 薄膜電容的解決方案無疑很有優勢, 但對于要求高容值的場合, 薄膜電容解決方案的競爭力就會有所降低。
2 薄膜電容與電解電容的壽命估算
2.1 薄膜電容的壽命
薄膜電容允許有很長的壽命期望, 其壽命的長短由電壓條件與熱點溫度決定。
薄膜電容壽命曲線如圖2所示, 在工作電壓為額定電壓、熱點溫度為70 ℃的情況下, 薄膜電容器設計壽命長達100kh。壽命結束的標準為電容容值減小15% , 然而這是壽命結束的理論值, 因為在到達該點后, 電容器仍然能夠使用。如果在應用中允許容值減小20% , 壽命將得到顯著的增加。同時, 為達到電容的壽命期望值, 電容使用塑料殼或鋁殼并被樹脂密封, 保護電容不受環境的影響。
2.2 電解電容的壽命
電解電容最簡單的壽命估算方法如式 (3) 所示[10, 15]。
式中:L1和L2分別為溫度T1和T2時電解電容的壽命。
從式 (3) 可知, 電容的溫度每上升10℃, 其壽命降為原來的1/2。但需注意的是, T1和T2不應僅考慮電容的環境溫度, 還要考慮電容的內部核心熱點溫度, 其表達式為

式中:Tac為環境溫度;ΔT為電容內核的溫升。
根據熱力學定律, 有

式中:Ploss為電容內部的發熱功率,

Rth1和Rth2分別為電容內部電解質和鋁殼之間、鋁殼和外部環境之間的熱阻。通過觀察式 (3) ~ (5) 不難發現, 電容內部發熱是其電解質散失、發生老化現象的根本原因之一。
Ploss受下面幾種因素的影響。
1) 環境溫度Tac:當紋波電流一定時, 環境溫度越高, 鋁電解電容器使用壽命越短;相反, 若降低工作溫度則可以大大延長使用壽命。故實際設計中, 要求電解電容器應遠離發熱源。
2) ESR:隨著老化的加劇, ESR逐漸增加, 從而Ploss、ΔT增加, 并最終形成正反饋過程。
3) 紋波電流Irip:紋波電流是指流過電解電容器的交流分量電流。而當環境溫度一定時, 在允許范圍內, 流過的紋波電流越大, 在ESR上消耗的電能轉化為熱能越多, 在電容器內部引起的溫升就越大, 從而縮短壽命。
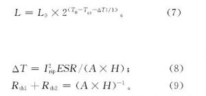
基于上述分析, 假設電容在溫度T0下的壽命為L0, 則通過式 (3) ~ (6) 能夠最終推導出其壽命表達式為

其中:A為電容器表面積, cm2;H為散熱系數, 通常取值為1.5~2.0×10-3 W (cm2·℃) -1。式 (9) 成立的條件是電容采用自然風冷散熱。
3 大型電力電容設計的兩個示例
3.1 49mF單臺大型電力電容設計
單臺支撐薄膜電容容值為49 mF, 體積為400mm×175mm×860mm, 重量約為90kg, 可以承受最高1 800VDC的浪涌電壓, 極間耐壓可以達到1 650VDC。
如需用鋁電解電容替代薄膜電容器, 至少需要450VDC電壓等級的電解電容器 (市面上最常用的高壓電解電容器) 通過三串來實現 (電解電容能夠承受的最大浪涌電壓約為1.2倍額定電壓) , 所以電解電容三串所能承受的最大浪涌電壓為450×3×1.2=1 620VDC, 與薄膜電容器相比, 在耐壓方面還略有不足。
因此, 對于49 mF的單臺支撐薄膜電容, 鋁電解電容需要采用450VDC、4 700μF的電解電容, 通過3串32并方式來實現。電解電容型號可以選為ALS32A472NJA450, 尺寸為?77 mm×131mm, 重量為0.865kg。按照12×8排列 (12行8列) , 同時考慮到電容散熱, 每兩只電容之間需要隔開最少5 mm, 所以組合電容需要的長寬尺寸最少為979mm×651mm。電解電容需使用復合母排螺栓連接, 高度估算約為145mm, 所以每一組電解電容的尺寸約為979mm×651mm×145mm (如算上串聯時所需均壓電阻和固定空間體積則還需增加10% 以上) , 重量為83kg (如算上復合母排及固定安裝所需零件, 則重量最少為90kg) 。
通過以上數據的對比計算可以發現:①電解電容體積/薄膜電容體積比≈979×651×145× (1+10% ) / (400×175×860) =1.689。②電解電容重量/薄膜電容重量比≈90/90=1。
顯然, 使用電解電容方案, 其體積遠大于使用薄膜電容方案, 而兩者的重量相差不大。同時, 需要指出的是, 電解電容在壽命、安全性等方面遠不如薄膜電容。
3.2 4臺40mF大型電力電容設計
某大型三相三電平逆變裝置使用4臺40mF的大型電力電容作為支撐電容。單臺40 mF薄膜電容體積約為400mm×175mm×735mm, 重量約為80kg。由此可得到, 4臺40mF薄膜電容在使用時所需空間約為400 mm×700 mm×735mm, 重量約為320kg。該薄膜電容器單臺可承受最高1 800VDC的浪涌電壓, 極間耐壓可達1 650VDC。
與3.1節類似, 如需用鋁電解電容代替薄膜電容器, 則至少需要450VDC電壓等級的電解電容器通過三串來實現, 所以電解電容三串所能承受的最大浪涌電壓為450×3×1.2=1 620VDC。
以10mF/450VDC鋁電解電容為例進行分析。市面上10 mF/450 VDC鋁電解電容 (參照EPCOS) 的性能指標為:尺寸?90mm×220mm, 重量1.9kg。需要電解電容采取12并3串才能滿足容量為40mF, 逆變裝置使用4臺40mF, 所以支撐電力電容的總容量實際為160 mF, 使用10mF/450VDC鋁電解電容則需要48并3串才能滿足電容量需求。每48 只為一組, 按照8×6排列 (8行6列) , 同時考慮到電容散熱, 每兩只電容之間需隔開最少5 mm, 所以每組電容需要的長寬尺寸最少為755mm×565mm。電解電容需使用復合母排螺栓連接, 高度最少約為240mm, 所以每一組電解電容的尺寸最小為755 mm×565mm×240mm。
由以上分析可算出144只電解電容使用時需要的空間最少為755mm×565mm×720mm (如算上串聯時所需均壓電阻和固定空間體積, 則還需增加10% 以上) , 重量為273.6kg (如算上固定安裝所需零件, 則重量約為300kg) 。
通過以上數據的對比計算可以發現:①電解電容體積/薄膜電容體積比≈755×565×720× (1+10% ) / (400×700×735) =1.642。②電解電容重量/薄膜電容重量比≈300/320=0.937 5。
顯然, 在這種設計情況下, 使用電解電容方案, 其體積也遠大于使用薄膜電容方案, 而兩者的重量相差不大。同時, 需要指出的是, 電解電容在壽命、安全性等方面遠不如薄膜電容。
4 結論
文中通過對電解電容與薄膜電容性能的詳細論述和兩種電容優缺點的比較分析, 以實例驗證表明:電解電容的壽命主要由環境溫度及流過的紋波電流大小決定, 其壽命較低是薄膜電容等固態電容在很多領域替代電解電容最主要的原因。兩種電容相比較而言, 薄膜電容具有壽命長、耐壓高、電流承受能力強、能承受反壓、無酸污染并且可長時間存貯等諸多優點。因此, 如果電容的設計要求為低電壓、低有效值電流、無反向電壓、無峰值電流及長壽命, 選擇電解電容比薄膜電容會更合適。然而, 如果應用中需要高電壓、高有效值電流、有過壓、有反向電壓、高峰值電流, 同時還要長壽命, 應優選薄膜電容。

