0 引言
金屬化膜是在薄膜上蒸鍍一層很薄的鋁或鋁鋅合金電極。在薄膜中弱點發生擊穿時,金屬電極蒸發并隔離故障點,使得電容器迅速恢復絕緣得以繼續正常工作,這個過程稱之為“自愈”,該過程中電弧燃燒消耗的能量叫作自愈能量[1]。自愈能量越大,單次自愈過程中清除的金屬電極面積越大,金屬電極面積的損失導致電容量下降。
測試電容器的電容量損失是一種衡量電容器運行狀況的有效方法。當電容量損失增多時,金屬化膜脈沖電容器耐壓性能下降,每次充放電電容量的損失將大幅增加。通常以電容量下降達到5% 時的充放電次數作為金屬化膜脈沖電容器的工作壽命[1]。
金屬化膜脈沖電容器的電容量損失過程能夠作為評估電容器工作狀況的方法,這就表明設備的維護工作能夠預先制定,而不是等到電容器出現故障時再去維護。在大系統中出現電容器故障,后果可能是災難性的,其造成的損失遠遠大于維修設備的花費。因此在金屬化膜脈沖電容器投入運行前,取其部分樣品進行壽命測試是必要的,以此來了解此種類型金屬化膜脈沖電容器的壽命特性。
1 影響金屬化膜脈沖電容器壽命的因素
金屬化膜脈沖電容器的壽命受到各種不同因素的影響,下面討論這些影響因素。
1. 1 電壓
金屬化膜脈沖電容器的壽命受到所加電壓強度的影響。有學者[2]指出薄膜上外界壓強為0,薄膜方阻為1. 4 Ω/□時,自愈能量與電壓的關系如式( 1) 所示:

式( 1) 中,Ws為自愈能量; U為所加電壓; n為系數。在其他一些學者的研究中,n在2 ~ 6 之間變動[3-4]。Kammermaier和Heywang指出表面自愈過程中金屬脫離面積與自愈能量成正比[5-7],比例關系如下:

式( 2) 中,S為自愈面積; d為薄膜厚度。
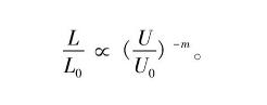
在金屬化膜脈沖電容器的壽命測試中,薄膜自愈造成的金屬層蒸發是電容量損失的主要因素。因此電容器的壽命與電容器自愈能量相關。結合( 1) 與( 2) ,可得到式( 3) :

因此對于同種金屬化膜脈沖電容器,壽命與電壓的關系可以表示如下:

式( 4) 中,L為壽命; U為金屬化膜脈沖電容器所加電壓; m為系數。可以發現金屬化膜脈沖電容器的壽命受到電壓的影響顯著,隨著電壓的升高,金屬化膜脈沖電容器壽命近似呈指數關系下降。
1. 2 電壓反向
研究表明0 ~ 20% 反峰電壓對金屬化膜脈沖電容器的性能影響不大,但當反峰電壓達到50%正向電壓以上時,金屬化膜脈沖電容器的電容量會急劇下降。設計者應該考慮到運行中反峰電壓造成的電容量損失。電壓反向的影響機理主要為反向電壓與其內部慢極化電場相疊加,使介質承受較大電場,導致介質劣化、自愈增加、壽命下降[8]。
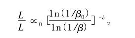
有學者提出了壽命與反峰電壓關系[8],如下:

式( 5) 中 β 為反峰系數,即反向電壓峰值與正向電壓峰值的比值,而一般電流反峰率與電壓反峰率大小是一樣的。
1. 3 溫度
在環境溫度為20 ℃ ~ 40 ℃ 時,溫度對金屬化膜脈沖電容器壽命的影響不大; 在溫度為40 ℃~ 65 ℃ 時,每增加8 ℃ ,金屬化膜脈沖電容器的壽命減半; 而在65 ℃以上時,新的故障出現,金屬化膜脈沖電容器的壽命急劇下降[8]。因此電容器操作時的環境溫度對金屬化膜脈沖電容器的壽命有顯著的影響。
1. 4 峰值電流
在脈沖放電過程中通過電容器的大電流會在電極之間產生很大的電動力[9]。金屬化膜脈沖電容器的端部噴金處流過的電流最大,端部噴金接觸會受到破壞,導致噴金脫落。當金屬與電介質的接觸遭到破壞時,金屬化膜脈沖電容器的等效串聯阻抗增加,之后脈沖放電會使得金屬化膜脈沖電容器出現過熱,最終導致其性能和壽命的降低。
金屬化膜脈沖電容器流過脈沖電流會產生熱量,使得薄膜介質劣化,擊穿場強下降,自愈增多,壽命下降[8]。
2 壽命測試方法
基于上述影響金屬化膜脈沖電容器壽命的因素,在此提出一種金屬化膜脈沖電容器壽命測試方法。此方法可以測試上述不同影響因素下金屬化膜脈沖電容器的壽命特性,并能夠模擬實際工況進行金屬化膜脈沖電容器測試,以此來了解金屬化膜脈沖電容器的品質并對其運行壽命進行預測[10]。
金屬化膜脈沖電容器壽命測試回路如圖1 所示,試品電容C充至預設電壓值后,晶閘管VT導通,電容C對電阻Rf和電感Lf放電,電壓反轉時,反向電流經過二極管V續流。晶閘管的觸發信號經過設計,能提供多次連續觸發,保證電容器的放電能夠持續到電壓幅值衰減為可忽略的極小值。
圖1 金屬化脈沖電容器壽命測試回路Fig. 1 Test circuit on life of metalized pulsed capacitor
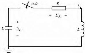
2. 1 壽命測試原理
壽命測試原理如圖2 所示。圖2 為典型的二階放電電路。

圖2 測試回路原理圖Fig. 2 Test circuit diagram
金屬化膜脈沖電容器充電到設置電壓后,再合上開關,假設合開關前的時間為0,因此0 時刻電流為零,起始電壓與起始電流如下:
合上開關后回路方程如下:
方程特征根如式( 8) 、( 9) :

根據實際工況下不同負載進行參數選擇,回路參數改變后,脈沖放電波形也隨之改變,大致分為3 種形式。
1) 過阻尼情況。 需要調節參數使得,即a > ω0,特征根p1和p2為不相等的負實根。放電電流表達式如下:
2) 臨界阻尼情況。調節回路參數,使得?,即a = ω0,特征根p1和p2為相等的負實根。放電電流表達式如下:
3) 欠阻尼情況。 調節回路參數,使得,a < ω0,特征根p1和p2為有負實部的共軛復根,表達式如式( 12) 、( 13) :
式( 12) 、( 13) 中a、ωo、ωd滿足下式:
計算得到脈沖放電電流如下:

即通過這樣的回路設置,并進行參數調整,可以得到脈沖條件下的任意波形,進行壽命測試。
典型的脈沖放電電流如圖3 所示,其為欠阻尼情況。圖3 中金屬化膜脈沖電容器電容量為40 μF,所加電壓5. 7 k V,電流幅值888 A,反峰系數10. 8% ,周期1. 1 ms。回路參數中電阻3. 5 Ω,電感418 μH。
圖3 典型脈沖放電電流波形Fig. 3 Typical pulsed discharge current waveform. ??下載原圖
2. 2 測試設備
2.2.1充電機
高壓充電電源廣泛應用于等離子體物理、高功率激光、大功率微波、粒子束武器等領域。如今的脈沖激光發生器、醫療加速器、電源調制器和其他脈沖充電容放電回路都面臨著系統給電容器充電的問題。傳統充電電源采用的工頻高壓電源和LC諧振充電方式,雖然電路簡單,但其體積和重量大,低頻工作狀態以及紋波、穩定性均不能令人滿意。電力電子學的飛速發展和開關電源的采用使充電電源高頻化成為趨勢,且在國外已有快速發展。美國的Maxwell公司及EMI公司均研制了開關模式的適合脈沖電容充電的系列高壓電源。
充電方式是充電機選擇的重要因素,主要分為3 種方式: 1RC直流恒壓充電; 2L-C諧振充電; 3LRC串聯諧振恒流充電。與恒壓充電相比較,LRC串聯諧振恒流充電時電容器上的電壓上升速度均勻,充電時間較短,回路沒有限流電阻,消耗的能量較少,利用率高,因而使恒流充電適應了激光電源技術向重復頻率發展的趨勢,得到廣泛的應用。
如果使用傳統的恒壓充電,在充電初期,電容器上的電壓較低,流過電源的電流較大,電源相當于短路,必須串聯電阻以限制電流,在充電后期,隨著電容器上的電壓升高,降落在限流電阻上的電壓降低,流經限流電阻的充電電流減小,充電速度變慢,消耗能量,利用率低。分別采用恒流充電和恒壓充電時電容器上的電壓上升曲線如圖4 所示,其中電壓線性上升的為恒流充電,可以看出在電源容量相同的情況下恒流充電快于恒壓充電[10]。

圖4 恒壓充電與恒流充電比較Fig. 4 Comparison between constant voltageand current charging
圖4 恒壓充電與恒流充電比較Fig. 4 Comparison between constant voltageand current charging
2. 2. 2 晶閘管與二極管
晶閘管是PNPN 4 層半導體結構,它有3 個極: 陽極,陰極和門極。晶閘管具有硅整流器件的特性,能在高電壓、大電流條件下工作,且其工作過程可以控制,在此選用晶閘管進行脈沖放電的導通。當電壓過高,可將晶閘管進行串聯,增大整體的耐壓能力。
脈沖放電過程中,在感性負載的作用下,會出現欠阻尼回路,導致電路出現振蕩。二極管的作用是給脈沖放電反向電流續流。當電壓增大后,可通過二極管串聯以提高整體耐壓能力。
當選用串聯連接時,每個開關元件的參數不可能完全一致,可能會出現分壓不均,因此應該在二極管與晶閘管兩端并上均壓回路,其包括穩態均壓回路與暫態均壓回路。穩態均壓回路使晶閘管與二極管在穩態電流作用下,分壓均勻。暫態均壓回路使得晶閘管與二極管在瞬間脈沖作用下能夠得到均勻分壓,避免因分壓不均,導致元件破壞,回路設置如圖5 所示。圖中Rj為穩態均壓回路電阻,Cd與Rd為動態均勻回路的電容與電阻,其中電容起到了緩沖回路沖擊的作用。
圖5 晶閘管與二極管均壓回路圖Fig. 5 Equalizing circuit of thyristors and diodes
2. 2. 3 回路電阻與電感
脈沖放電對于參數要求嚴格,一般無需很大的電阻和電感,但在電阻與電感中需要通過很大的電流,并且電感與電阻需要方便調節以滿足不同波形的要求,因此測試回路中電感和電阻的形式需要認真考慮。
2. 2. 4 特殊測試設備
當需要測試金屬化膜脈沖電容器在特殊條件下的壽命特性時,需要在回路中增加適當的設備以達到測試要求。如要測試不同溫度或濕度環境下金屬化膜脈沖電容器的壽命特性,可將金屬化膜脈沖電容器放入恒溫恒濕箱中,用導線將其接入回路,進行壽命測試,以實現不同溫度或濕度下壽命測試,即進行特殊測試需要加入特殊設備。
3 結語
本文對影響金屬化膜脈沖電容器壽命的因素進行分析,提出了按不同影響因素測試金屬化膜脈沖電容器壽命特性的方法,并對此測試方法的原理與主要設備進行了說明。此方式可高效測試金屬化膜脈沖電容器的壽命特性,對金屬化膜脈沖電容器壽命測試以及基于壽命測試而形成壽命預測具有一定的指導意義。
